El aparato automático de Blaine es una versión automatizada del aparato de Blaine y sigue los estándares internacionales. El aparato automático de Blaine proporciona más precisión y precisión que la proporcionada por el aparato manual de Blaine. La calibración de esta unidad se realiza utilizando una referencia de muestra de cemento.
Se utiliza para determinar la finura del cemento utilizando el aparato de permeabilidad del aire Blaine, en términos de la superficie específica expresada como área de superficie total en centímetros cuadrados por gramo, o metros cuadrados por kilogramo, de cemento.
El aparato automático de Blaine es un equipo que se utiliza para medir cuán finos son los PRODUCTOos en polvo como el cemento.
El aparato automático de permeabilidad del aire Blaine SZB-9 realiza la prueba para determinar la finura de los cementos, limas y polvos similares expresados en términos de su superficie específica de acuerdo con los estándares de prueba anteriores. La finura del cemento se puede medir automáticamente como superficie específica observando el tiempo tomado para que una cantidad fija de aire fluya a través de un lecho de cemento compactado de dimensiones especificadas y porosidad. El método es comparativo en lugar de absoluto y, por lo tanto, una muestra de referencia de superficie específica conocida es necesaria para la calibración del aparato.
Características principales
La prueba se controla en la pantTodosa táctil.
Control automático del movimiento del fluido hasta la línea superior
Medición automática del tiempo de flujo de aire
Medición automática de la temperatura durante la prueba
Idiomas (inglés)
Analizador controlado por microprocesador para la medición de la superficie específica (valor de Blaine) de los polvos.
Modelos disponibles:
Modelo SZB-9 con el sistema de registro y control de datos incorporado.
El modelo SZB-10 está con un sistema de registro y control de datos incorporado y una impresora incorporada.
El manual de operación es lo siguiente:
S pecificación
De acuerdo con el estándar de estado GB/T8074—2008, desarrollamos el nuevo probador de superficie de relación automática SZB-9 Model SZB-9. La máquina está controlada por la computadora y se opera por teclas táctiles, el proceso de prueba total de control automático. Recuerde automáticamente el coeficiente, muestre el valor de la superficie de la relación directamente después del trabajo de prueba, también puede recordar automático el tiempo de prueba.

1. Voltaje de suministro de potencia: 220V ± 10%
Rango de recuento de 2.Time: 0.1 segundos a 999.9 segundos
3.Time Count Precision: <0.2 Second = "">
4. Precisión de medición: ≤1 ‰
5. Rango de temperatura: 8-34℃
6. Ratio Número de área de superficie S: 0.1-9999.9 cm2/g
Rango de 7.use: Rango de uso descrito en GB/T8074-2008 estándar
El área de visualización es la pantTodosa LCD, área de visualización.
Área de operación: Formado con 8 claves, incluya 【Izquierda 】【 Valor de 】【 K Valor 】【 S 】【 Agregar 】【 Reduzca 】【 RESET 】【 OK】

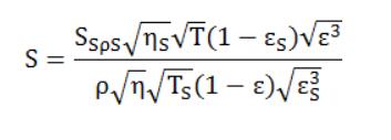
Cemento Área de superficie específica El área total del polvo de cemento, indique por cm²/g.
El método dependía del aire misensurable a través de la interpacio insignificante y la capa de concreto de espesor fijo, la resistencia diferente puede generar diferentes velocidades de flujo y usar estos elementos para probar el área de superficie específica del cemento.
De acuerdo con la fórmula de calculación GB/T807-2008 estándar.


S - La superficie específica de la muestra de prueba, sS— La superficie específica del polvo estándar, CM2/g
T - El límite de límite descendente de la muestra de prueba, tS— El líquido de polvo estándar de baja tiempos, segundos.
η: la mucosidad del aire cuando la muestra de prueba a temperatura instantánea, μPA ∙ S
ηs: la mucosidad del aire cuando el polvo estándar a temperatura instantánea, μPA ∙ S
ρ - densidad de la muestra de prueba, ρs - densidad de la muestra de prueba estándar, g/cm3
ε - Tasa de muestra de la muestra de prueba, εs - tasa de interfaz de muestra de prueba estándar
En la fórmula de calcular anterior, porque el polvo estándar es fijo y es 0.5, así que use el valor correctamente.
Prueba y demarcación
1.Use el sello de gag de goma el borde del cubo y luego pruebe, establezca el parámetro necesario y luego inicie el instrumento. Cuando el instrumento se detenga automáticamente, verifique la cara líquida si está abajo, y el estado normal no es abajo.
2. Prueba de volumen de capa de muestra
Proceso de prueba
1) Muestra preparada
2) Confirme la cantidad de muestra
3) La capa de muestra MadeGB/T8074-2008 Otro no se había referido, puede referir GB/T8074-2008 estándar.
Operación
1 、 La descripción de la función de menú seleccionada principal
1) Conecte el cable de la fuente de alimentación y encienda
Primero, muestre el símbolo de la empresa
Cuando se retrase el tiempo, muestre el siguiente menú 'Adjustia el nivel de líquido', ajuste el nivel de líquido con Burette.
En este momento, debe agregar lentamente agua al medidor de presión a la escala más baja, y un pitido sonará, y la pantTodosa aparecerá 'todo establecido'.
En este momento, presione la tecla 【OK】 para ingresar a la pantTodosa de selección principal '1 muestra'.
Presione el 【Agregar】 o 【Reduzca la tecla】 para seleccionar funciones, que son las siguientes:
’2 calibración de instrumentos’
’Configuración de 3 relojes’
’4 registros históricos’
’Configuración de 5 porosidad’
Presione el 【Agregar】 o 【Reduzca la tecla】 para ingresar la pantTodosa anterior y luego presione la tecla OK para ingresar cada función correspondiente. Antes de medir el área de superficie específica, primero debe establecer la porosidad. Las operaciones específicas son las siguientes: (las teclas Agregar y Reducir se usan para establecer el número. Reduzca menos 1, ADD más 1, izquierda y derecha se usan para ajustar el dígito seleccionado) cuando aparece la siguiente pantTodosa 'Configuración de 5 porosidad', presione el botón OK.
Ingrese la operación "Configuración de porosidad" Establecer el valor de acuerdo con el tipo de muestra estándar y la muestra probada (use Agregar, reducir, izquierda, derecha para establecer los siguientes valores y usar las mismas teclas), y luego presione la tecla OK para volver al menú principal.
Instrumento demarcación
1 、 Prepare el cubo de volumen que había probado el volumen B e hizo que la capa de muestra de prueba dependiera de la solicitud 6 th para preparar la prueba.
Use el cubo de volumen de Cere sellado en la cara cónica externa, luego coloque el borde cónico del manómetro y gire dos círculo, elimine el puré.
2 、 En el menú principal, presione 【Valor k】.
Mida la temperatura actual y muestrela durante 3 segundos.’ temperatura xx℃'
La siguiente pantTodosa parece ingresar los parámetros necesarios.
'Establezca el valor S 555.5
Densidad 1.00′
El valor S expresa el valor de área de superficie específica de muestra estándar, la densidad es la densidad de muestra estándar, use estas claves 【Agregar 】、【 Reduzca 】、【 Izquierda 】、【 Derecha】 para establecer el valor.
Después de configurar la operación, presione 【OK】 Para ingresar el programa de prueba automática del coeficiente del instrumento, después del trabajo de prueba, presione la tecla 【OK】, el coeficiente se guardará automáticamente en el coeficiente del instrumento. Puede usar automáticamente el coeficiente guardado cuando se realiza la prueba de la superficie de la superficie, y también puede volver al menú principal (si no presiona la tecla 【OK】, el coeficiente no se puede guardar)
Área de superficie específica prueba
En el menú principal, presione el valor 【S】 midió el valor de temperatura actual y muestra 3 segundos.
Parece medir el área de superficie específica de la muestra, ingrese los parámetros necesarios.
Prueba de muestra
Coeficiente de instrumento 555.5
Densidad 1.00
T Aquí en la parte, el coeficiente del instrumento es el número de pruebas en el instrumento demarcación proceso. D La Ensenity es la densidad de muestra de prueba, use 【Agregar 】、【 Reduzca 】、【 Izquierda 】、【 Derecha】 Para establecer el número.
A fter set, presione 【DE ACUERDO 】 Ingrese en el programa de prueba de muestra, después de la prueba, presione 【 DE ACUERDO 】, El valor de prueba se guardará automáticamente en el registro de la historia y volverá al menú principal.
4 : : otra función
a) Tiempo establecido
El instrumento tenía el reloj instalado, puede configurar el formato para 24h, cuando se ajusta el reloj, puede usar 【Agregar 】、【 Reduzca 】、【 】、【 】、【 】、【 】、【 derecha】 teclas en el menú principal para establecerse.
b) Registro de historia
H Istory muestra los valores de prueba de muestra, y ahorró algún tiempo de prueba de muestra, y algunos coeficientes, los registros se pueden guardar el máximo. Las piezas son 50 piezas, puede revisar el uso de ellos 【Agregar 】、【 Reducir】 Clave.
Modelo SZB-9 Auto área de superficie específica Operación de probador detTodose:
Preparar el trabajo
1. Secado de la muestra de prueba
2. Determine la densidad de muestra
3.220V 、 50Hz Sistema de corriente alterna
Balance de 4.1/1000 un conjunto
5. Algunas mantequilla
6. Establezca el instrumento estable, encienda la fuente de alimentación, abra el interruptor izquierdo del instrumento. Si muestra el 'ajuste el límite de líquido', eso significa que el límite de agua del manómetro de vidrio no está en el límite más bajo.
7.Use la Burette gota un poco de agua en el lado izquierdo del manómetro. Aviso: Mire cuidadosamente en el proceso de agua de caída y mire el instrumento hasta que ocurriera un ruido 'di'. Por lo tanto, mostrará 'ser todo establecido, eso significa que el instrumento comenzará después de esto.
Instrumento DeMarcat constante
1: Necesito saber estos parámetros
(1) Área de superficie de relación de polvo estándar
(2) Densidad de polvo estándar
(3) Volumen estándar de cubo
2: Haga la cantidad de muestra
(1) El polvo debe secarse más de 3 horas en 115 ℃. Luego enfriándolo a temperatura ambiente en Airer.
(2) acuerdo con la fórmula ws = ρs × v × (1-εS) Calcule la cantidad de muestra, ρsUna densidad de polvo
V - volumen estándar de Bucket
εs: tasa de interfaz de muestra de prueba estándar
Aviso: porque el polvo estándar es fijo y es 0.5, así que use el valor correctamente.
(3) Por ejemplo: la densidad estándar es 3.16 g / cm, el volumen del cubo es 1.980, la velocidad de interfaz es 0.5.
Entonces, el peso de polvo estándar de demarcado es
Ws = ρs × V × (1-εS) = 3.16 × L.980 × (1—0 .5) = 3.284 (g)
Entonces, el peso estándar en polvo después del secado y el enfriamiento es 3.284 g
3: Coloque el cubo en el marco de metal, coloque el tablero de agujeros en él, coloque el tablero de agujeros plano Use el espalda, luego coloque el papel de filtro de una pieza, use la espalda plana.
4: Coloque el polvo estándar en el relleno de uso de cubos (observe, no libres el cubo), coloque a mano el cubo hasta que el polvo estándar esté uniforme.
5: luego coloque un papel de filtro, use el bucle del machador y empuje el papel del filtro en Bucker hasta que el machac se ajuste al cubo.
6: posponga el cubo de volumen, limpie algo de igualdad de mantequilla en la superficie de pinchazo de cubo.
7: Ponga el cubo giro y póngalo en el borde manométrico de vidrio. Mire el cubo afuera con la cara interna manométrica será una capa de mantequilla igual.
8: Presione 【OK】 Tecla en el menú principal, presione 【Reduzca】 hasta que visualice '2 instrumento DemarCate', luego presione 【OK】 Temperatura de corriente de visualización de llave, presione 【OK】 Tecla nuevamente, Muestra '2 Demarcate' Menú ', ingrese el polvo de la superficie de relación de polvo y densidad estándar, y presione 【OK】 Tecla, el coeficiente de coeficiente se guardó automáticamente en el instrumento.
Aviso: después del inicio, notará con cuidado, por ejemplo, si la cara líquida en el límite más alto y el fotoeléctrico La celda aún no se detiene, presione 【RESET】 Tecla o apague la alimentación. T Tornillo de gTodosina el perno del manómetro, hasta que la fotoelectricidad verifique en estado correcto.
9: El coeficiente se guardará automáticamente en el instrumento, pero es necesario registrarlo por el usuario, puede repararlo depende del registro de manera inmediata cuando algunos daños en el instrumento.
Muestra de prueba área de superficie específica prueba
1.Probe la densidad de muestra antes del trabajo de prueba
2.de depender en la fórmula W = ρ × V × (1-ε) para calcular la cantidad de muestra. ρs - Densidad de la muestra de prueba de polvo estándar
V - volumen estándar de Bucket
ε: tasa de interfaz de muestra de prueba
Por ejemplo: la densidad de muestra de muestra v = 3.36, volumen del cubo V = 1.982, la velocidad de interfaz de polvo de muestra es 0.53.
Entonces, w = ρ × V × (1-ε) = 3.36 x L.982 x (1—0 .53) = 2.941 (g)
3. Ponga el cubo en el marco de metal, coloque el tablero de agujeros, coloque el tablero de agujeros plano, use el espalda, luego coloque el papel de filtro de una pieza, use el espíritu plano.
4. Ponga el polvo estándar en el relleno de uso de cubos (observe, no libres el cubo), coloque a mano el cubo hasta que el polvo estándar esté par.
5. Luego, coloque un papel de filtro, use el bucleador del machador y empuje el papel del filtro en Bucker hasta que el machac se ajuste al cubo.
6. Ponga el cubo de volumen, limpie algo de igualdad de mantequilla en la superficie de pinchazo de cubo.
7. Ponga giro el cubo y colóquelo en un borde manométrico de vidrio. Mire el cubo afuera con la cara interna manométrica será una capa de mantequilla igual.
8.Press 【OK】key into main menu, press 【Reduce】until disJugar “1 sample test”, then press 【ok】key disJugar current temperature, press 【ok】key again, disJugar'sample test'menu, input the ratio surface powder of sample powder and density(if necessary, you can change the instrument coefficient), and press 【ok】key, the coefficient will auto saved in the instrument.
PRODUCTOos relacionados:
Probador de óxido de calcio libre de CA-5CEME
Gabinete de curado de temperatura constante y humedad YH-40B
